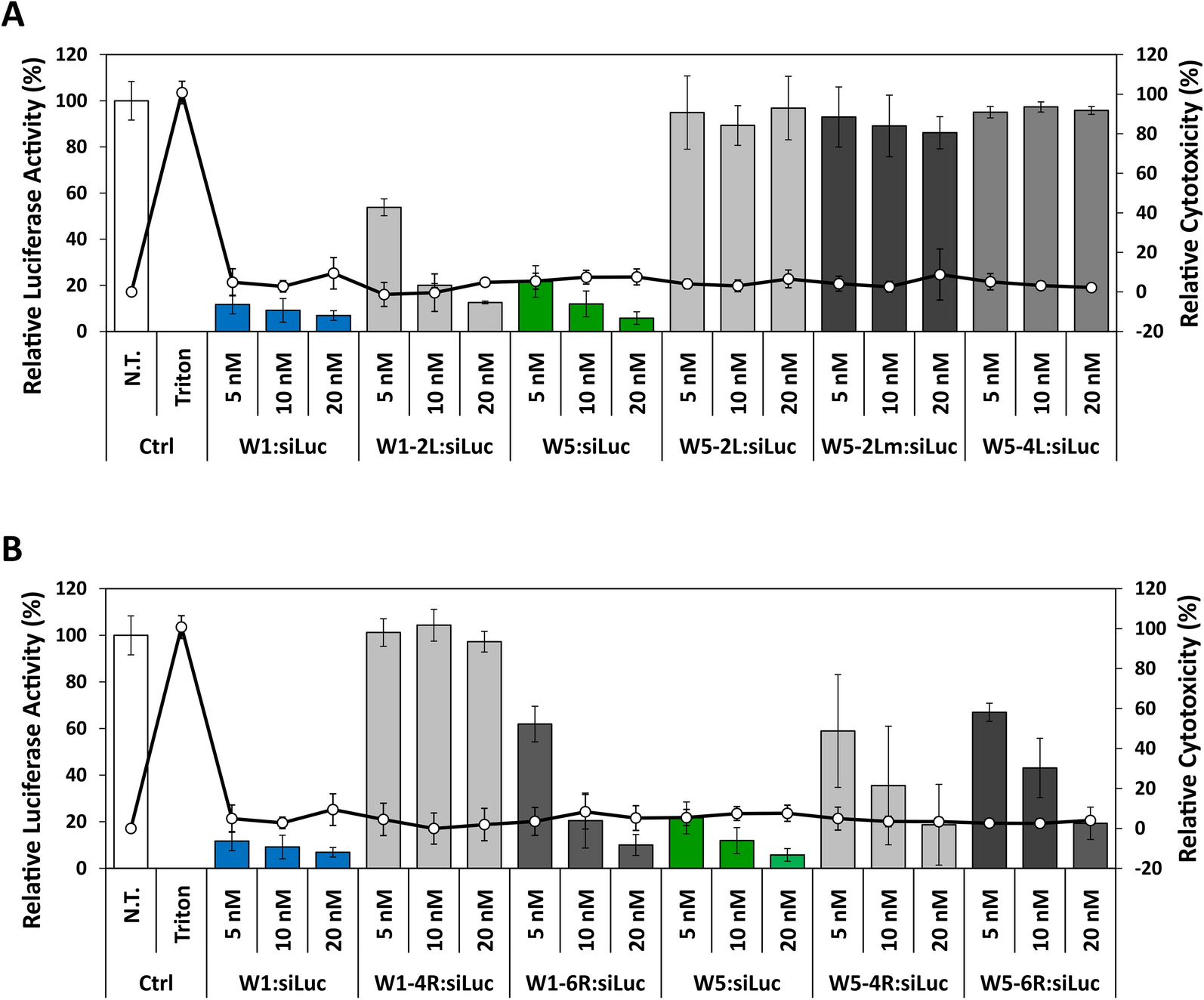
Fig. 4

Comparison of luciferase silencing of WRAP-based PBNs. A ∆Leu-analogues and (B) Arg-analogues complexed with siRNA as PBNs were evaluated for their luciferase silencing activity in comparison to the parental W1 and W5 PBNs. Graphical representation highlighted the relative Luc activity (%) and relative cytotoxicity (LDH quantification, %) after transfection with WRAP:siLuc complexes on U87 cells. Conditions: WRAP:siRNA (R = 20) at the indicated siRNA concentrations. Abbreviations: siLuc = firefly luciferase siRNA, N.T. = non-treated cells, Ctrl = Controls. Data represent mean ± SD, with n = 2 independent experiments in triplicate